Visualizzazione Stampabile
-
Re: Problema forza apparente
Citazione:
Originariamente Scritto da
turik
"E guai tirare in ballo il terzo principio, forza centrifuga-centripeta non sono azione e reazione!"
Perchè no? in ogni caso anch'io ho spiegato che le forze fittizie dipendono dal fatto che un sistema non inerziale è come se fosse una scatola chiusa, senza che gli occupanti conoscano cosa avviene fuori. Forse i messaggi che scrivo passano inosservati, oppure perchè non mettendo una laurea di mezzo, non vengono letti con attenzione. Chissà.
No, mi spiace, ma proprio non la puoi spiegare col principio di azione e reazione. La forza di gravità esercitata dalla Terra non è per nulla paragonabile a quella esercitata da un satellite.
Non interagiscono le due forze di gravità, ma la forza di gravità e la "forza centrifuga". L'interazione è diversa, e la forza centrifuga la tiri in ballo solo per spiegare quello che accade.
E i due corpi non interagiscono materialmente.
-
Re: Problema forza apparente
Per l'esattezza la forza centrifuga non è nemmeno correlata con quella centripeta. Ne sono esempi i moti ellittici o quelli delle comete o comunque tutti i moti non circolari, in cui il corpo prima si avvicina e poi si allontana dal centro: la forza centripeta prima vince su quella centrifuga, poi accade l'opposto
Inviato dal mio Redmi 4 utilizzando Tapatalk
-
Re: Problema forza apparente
Addirittura il moto rettilineo uniforme può essere visto come un moto con forza centrifuga senza componente centripeta (lo farebbe un satellite con un razzo che controbilancia sempre la forza di attrazione terrestre)
Inviato dal mio Redmi 4 utilizzando Tapatalk
-
Re: Problema forza apparente
Citazione:
Ne sono esempi i moti ellittici o quelli delle comete o comunque tutti i moti non circolari
In questo caso, dal punto di vista della cometa, non è che lei percorra un moto rotatorio a velocità costante e che sia invece il percorso nella dimensione spazio temporale a cambiare? Od addirittura, come nell' esempio che hai fatto del razzo, sia in moto rettilineo uniforme e sia tutta una questione di spazio curvato dalla massa?
Sarà, ma aver visto il video del sole che si muove all' interno della via lattea con i pianeti appresso in un moto "quasi" rettilineo e non su delle orbite, mi fa pensare (come avevo espresso in un altro post) che ogni corpo massivo sia in realtà in moto rettilineo su un percorso più o meno curvato in relazione alla concentrazione di massa.
Tengo a precisare, onde evitare fraintendimenti,che le mie sono idee che vogliono fungere da domande per cercare di comprendere, non un voler esprimere verità su un argomento che quasi manco conosco.;)
-
Re: Problema forza apparente
Citazione:
Originariamente Scritto da
turik
"E guai tirare in ballo il terzo principio, forza centrifuga-centripeta non sono azione e reazione!"
Perchè no? in ogni caso anch'io ho spiegato che le forze fittizie dipendono dal fatto che un sistema non inerziale è come se fosse una scatola chiusa, senza che gli occupanti conoscano cosa avviene fuori. Forse i messaggi che scrivo passano inosservati, oppure perchè non mettendo una laurea di mezzo, non vengono letti con attenzione. Chissà.
Azione e reazione conseguenze del terzo principio sono forze interne al sistema
Nelle equazioni di moto si considerano solo le forze esterne comprese le forze fittizie in un sistema non inerziale
-
Re: Problema forza apparente
Citazione:
Originariamente Scritto da
Red Hanuman
Nessuna contraddizione. Se la forza centrifuga fosse una forza come le altre, bisognerebbe spiegare perchè è coordinata con la forza centripeta.
Quale teoria giustifica una cosa del genere, quale correlazione fisica?
L'unica spiegazione è che ci troviamo in un sistema non inerziale, e appena questa condizione non è soddisfatta, la forza centrifuga scompare.
Ma l'ho abbiamo detto che interviene la 3° legge della dinamica, lo ha confermato anche @cesarelia che si applica dal punto di vista dell'osservatore inerziale.
Lasciando perdere per un attimo le orbite ellittiche dove la dinamica è molto più complessa, ma nel caso delle orbite circolari esistono proprio grazie al fatto che la f.centrifuga bilancia perfettamente quella centripeta (che è la cosiddetta forza reale), quindi se una è reale anche l'altra non può che esserlo, come lo dimostra l'osservatore esterno con la 3° legge.
Poi anche in questo caso, una delle due forze può prevalere sull'altra, un esempio e quando un peso fatto roteare attaccato ad un filo, ad un certo punto il filo si spezza proprio perchè la f.centrifuga diventa maggiore per intensità della forza centripeta (filo). Di correlazioni tra le due forze ce ne sono infinite.
-
Re: Problema forza apparente
Citazione:
Originariamente Scritto da
Mulder
che ogni corpo massivo sia in realtà in moto rettilineo su un percorso più o meno curvato in relazione alla concentrazione di massa
A basse energie potenziali e cinetiche non serve scomodare la RG, ma come già accennato da qualcuno, se usiamo la RG anche la gravità cessa di esistere.
Ma anche in relatività, se cambi sistema di riferimento le forze fittizie come quella centrifuga dovrebbero continuare ad esistere.
Es.: se prendi uno scattering non frontale tra un elettrone e un positrone (pesi piuma, non curvano nulla) molto veloci (si devieranno soltanto a vicenda), e usi un sistema di riferimento con un asse nella congiungente le due particelle, dovresti ottenere una forza centrifuga anche con la RG, per giustificare il fatto che non sono finiti uno contro l'altro.
NB: l'esempio non è gravitazionale, perché in RG la gravità non esiste e quindi le masse non possono essere accelerate gravitazionalmente
Inviato dal mio Redmi 4 utilizzando Tapatalk
-
Re: Problema forza apparente
cesarelia
non seguo il tuo ragionamento circa lo scattering elettrone positrone
potresti aggiungere qualche altro dettaglio, magari uno schizzo o un link ?
-
Re: Problema forza apparente
Citazione:
Originariamente Scritto da
turik
Ma l'ho abbiamo detto che interviene la 3° legge della dinamica, lo ha confermato anche @
cesarelia che si applica dal punto di vista dell'osservatore inerziale.
Io ho detto che interviene anche la 3° legge: cioè il Sole ci attrae + noi attraiamo il Sole + la forza centrifuga non ci fa collassare sul Sole + la forza centrifuga che agisce sul Sole non lo fa collassare contro di noi.
(Ma solo se il nostro sistema di riferimento ha un asse fissato con la linea Terra-Sole)
Inviato dal mio Redmi 4 utilizzando Tapatalk
-
Allegati: 1
Re: Problema forza apparente
Citazione:
Originariamente Scritto da
Albertus
non seguo il tuo ragionamento circa lo scattering elettrone positrone
potresti aggiungere qualche altro dettaglio, magari uno schizzo o un link ?
Eviterei di approfondire lo scattering perché l'interazione tra particelle è molto complessa e rischierei di fare errori, così a freddo.
L'esempio funziona anche con due "proiettili" (anche per loro la curvatura dello spazio-tempo non è relativisticamente rilevante) carichi elettrostaticamente, uno con carica positiva e uno con carica negativa, sparati a velocità non molto forte ma abbastanza da non arrivare ad attrarsi fino ad attaccarsi tra loro (oltre una velocità di fuga). Lo schizzo è il seguente:
Allegato 43747
Se uno dei proiettili non avesse punti fissi di riferimento, penserebbe che l'altro proiettile sia un punto fisso, o quantomeno penserebbe che le forze reciproche di attrazione siano sempre parallele alla congiungente tra di essi: loro pensano che il loro moto sia solo di avvicinamento all'altro - o di allontanamento. Se però calcolano la forza di Coulomb, non corrisponde alla loro accelerazione (di avvicinamento o di allontanamento reciproco), e dicono che è colpa della forza "centrifuga".
E questo immagino che varrà certamente anche per masse che deformano lo spazio-tempo.
-
Re: Problema forza apparente
Scusate volevo dire che il proiettile "penserebbe che le forze reciproche di attrazione siano sempre parallele... al loro moto" (che nella realtà non lo sono, ma loro credono che l'unico movimento sia di avvicinamento o allontanamento)
-
Re: Problema forza apparente
E' un esempio veramente significativo che dovrebbe porre fine alla discussione sulle natura delle forze fittizie
Aggiungo solo qualche commento, spero esplicativo
il sistema non inerziale xyx con l'asse x sempre orientato nella direzione delle particelle è puramente rotatorio
L'origine degli assi cartesiani non si sposta in quanto le traiettorie delle particelle sono simmetriche
Le particelle si muovono con moto oscillatorio lungo l'asse x
prima si avvicinano all'origine degli assi poi si allontanano
Tale moto non può essere dovuto alla sola forza di attrazione elettrostatica
La forza di Lorentz è nulla perchè il campo elettrico e il vettore velocità sono paralleli
Deve esistere una forza centrifuga
Un dubbio che ci togliamo subito
Se il moto rotatorio del sistema di assi fosse uniforme , la forza centrifuga sarebbe minima proprio quando la forza di attrazione sarebbe massima
perchè allora le particelle invertono il moto ?
il moto rotatorio è accelerato
la forza centrifuga ha anche una componente proporzionale all'accelerazione angolare del sistema di assi
Tale accelerazione è massima quando le particelle sono vicine infatti a questa posizione corrisponde la massima curvatura delle traiettorie
Detto questo invece faccio una curva ad U su tutto quello che ho detto fino adesso
le forze fittizie sono forze reali
L'equazioni di moto delle particelle si possono ricavare dal principio di minima azione
il principio di minima azione è universale cioè non dipende dal sistema di riferimento
L'equazione F = ma invece non è applicabile al sistema in rotazione
Si parte dalla Lagrangiana :
L = T -U
L'energia potenziale U non cambia passando dal sistema inerziale a quello non inerziale l'energia cinetica T invece si modifica
Facendo i calcoli si ricavano le forze cosi dette fittizie proporzionali alle masse
L'equazioni di moto sono state ricavate con considerazioni puramente energetiche
la massa è una forma di energia
ergo
le forze fitizzie sono forze reali al pari delle altre
Inutile dire che si tratta di un'interpretazione, diciamo...estrema ;)
-
Re: Problema forza apparente
Citazione:
Originariamente Scritto da
cesarelia
Scusate volevo dire che il proiettile "penserebbe che le forze reciproche di attrazione siano sempre parallele... al loro moto" (che nella realtà non lo sono, ma loro credono che l'unico movimento sia di avvicinamento o allontanamento)
Sì era già chiaro nell'esempio, in pratica il proiettile interpreta come fittizia una forza reale (forza di columb) che non puo' conoscere essendo fuori dal suo sistema di riferimento, ma esiste realmente.
Nello specifico, il proiettile percepisce il moto dell'altro proiettile, sempre parallelo al proprio, ma non capisce perchè sta curvando, allora entra in gioco la forza fittizia.
Questo chiarifica ancora meglio la natura ovviamente reale e concreta delle forze fittizie. Grazie.
-
Re: Problema forza apparente
Citazione:
Originariamente Scritto da
Albertus
la massa è una forma di energia
ergo
le forze fitizzie sono forze reali al pari delle altre
Inutile dire che si tratta di un'interpretazione, diciamo...estrema ;)
Non è un'interpretazione per nulla estrema, la massa produce forze per sua stessa natura, proprio perchè è una forma di energia, tant'è che non potremmo toccare o afferrare nulla se non fosse per le forze inerziali, ed è la prima ragione per cui riteniamo tutto ciò che ci circonda "reale".
-
Re: Problema forza apparente
Quando dite che le forze fittizie sono "reali", nel senso che "le percepite", con gli occhi, col tatto, e nel senso che hanno effetti reali sulla materia, vi do ragione; perché nello spazio non potete distinguere se vi ho spinto contro un meteorite o se vi ho lanciato addosso un meteorite, ma comunque la volete vedere, vi schiantate lo stesso l'uno contro l'altro.
Dopo aver assodato che la forza fittizia ha effetti assolutamente reali, dovete però capire che è improprio continuare ad affibbiargli la parola "forza reale" perché non è generata da una interazione elementare della materia, né ha un proprio campo di forze, né delle linee di forza, né una particella di campo (come il fotone, o il gravitone) che "trasporta" e genera il campo di forza.
Citazione:
Originariamente Scritto da
turik
interpreta come fittizia una forza reale (forza di columb)
...
ma non capisce perchè sta curvando, allora entra in gioco la forza fittizia.
Ma il proiettile può anche vedere la forza di Coulomb (Fc) come reale: ipotizziamo pure che i proiettili conoscano le reciproche cariche, quindi sappiano di doversi attrarre, solo che all'inizio la loro distanza non si accorcia abbastanza rapidamente come aveva calcolato da Fc=ma, e soprattutto non si spiega perché ad un certo punto la distanza non diminuisce più e anzi inizia ad aumentare.
Potrebbe anche non percepire bene nemmeno correttamente il proprio moto; potrebbe pensare di essere stato inizialmente sempre fermo nel vuoto assoluto, finché da lontanissimo non ha visto arrivare l'altro che si è avvicinato come una cometa passandogli accanto, e attirandolo a sé. Per giunta lo vede arrivare in rotazione attorno ad un asse perpendicolare (coincidenza o no?) alla retta congiungente (non fate affidamento al disegno perché sull'orientamento dei proiettili non è tanto corretto: volevo dare l'idea del verso della traiettoria, ma in verità l'orientamento delle "punte" non cambia). Ma una rotazione intrinseca aggiuntiva con asse casuale potrebbe anche nascondere la rotazione dovuta al diverso sistema di riferimento.
Ma ipotizziamo che ci sia solo la (fittizia) rotazione dovuta al punto di vista: penserà inizialmente che tale rotazione è reale.
Inoltre non si renderà conto della curvatura della propria traiettoria, finché non farà una deduzione: la forza di Coulomb (Fc) è stata contrastata da un'altra forza, forse quella centrifuga, quindi dal calcolo
(m*a-Fc)
scopre che tale differenza è inizialmente piccola per poi aumentare fino a (-Fc) nel punto di maggior avvicinamento, per poi diminuire fino a tendere a zero, ma tende a zero meno velocemente di Fc.
Il bello è però che il proiettile da lì scoprirà la propria curvatura, o meglio la velocità angolare di rivoluzione attorno all'altro, e ne ricaverà una legge oraria scoprendo la vera traiettoria rispetto all'altro.
Edit: perché interpretando quella differenza come forza centrifuga, determinerà la propria velocità angolare rispetto all'altro proiettile
Inviato dal mio Redmi 4 utilizzando Tapatalk
-
Re: Problema forza apparente
@cesarelia
certo, ma se prendiamo in considerazione la forza centrifuga ritorniamo al discorso di prima che abbiamo già trattato, ovviamente questa forza tenderebbe a zero più lentamente rispetto alla forza di columb, senza bilanciarsi, se così non fosse i proiettili continuerebbero a ruotare in circolo attorno ad un punto, cosa assai improbabile.
Poi nessuno, me compreso, dice che la forza fittizia è identiche alle forze "reali", ma come la stessa definizione dice, l'unica differenza sta nel fatto che non si applica ad un corpo con una interazione diretta, ma attraverso la condizione non inerziale in cui si trova. Per il resto gli effetti sono gli stessi.
-
Re: Problema forza apparente
Da alcuni post stiamo orami girando in circolo
Per chi le percepisce le forze fittizie potrebbero anche essere indistinguibili dalle forze reali a parte il fatto che non sono applicate ad un corpo con interazione diretta e al fatto che causano la stessa accelerazione a corpi di massa diversa
Concorderai però che è duro chiamare "reale" una forza che "appare" solo in alcuni sistemi di riferimento mentre in altri non esiste
-
Allegati: 1
Re: Problema forza apparente
Esattamente quello che intendevo.
Sono un espediente, per non dover scrivere la seconda legge della dinamica così:
Allegato 43756
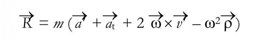
Ma citando da alcune dispense di Fisica Generale di un certo Claudio Cereda trovate in rete:
"la forza inerziale è anche detta forza apparente. L’aggettivo non deve ingannare; non si tratta di illusioni; le forze apparenti sono misurabili entro il sistema non inerziale e producono effetti osservabili anche di tipo permanente, come si vedrà a proposito delle forze di Coriolis.
L’aggettivo apparente ha un doppio significato: si riferisce alla impossibilità di determinare l’origine della forza in termini di interazione con un altro corpo e al fatto che tale forza non esiste dal punto di vista di un osservatore inerziale."
-
Re: Problema forza apparente
@cesarelia
Intervengo per l'ultima volta, solo per sottolineare un aspetto che secondo me nessuno ha ancora dato la giusta considerazione:
Se fossimo nell'autobus bendati, togliendo ogni relazione fisica con esso (annullando ogni attrito, sospesi nel vuoto al centro dell'autobus), nel momento della frenata noi non percepiremmo alcuna forza apparente, e andremmo avanti come se nulla fosse.
Allora in questo caso sono totalmente d'accordo con il fatto che la forza apparente scompare se vista da un osservatore inerziale, proprio perchè nella realtà non esiste alcuna forza che agisce su di noi.
Ma se rimaniamo nei casi reali, come il mio esempio, e non ideali, o nel caso della forza centrifuga, mi spiace , ma continuo a sostenere fermamente che la forza apparente coincide con un forza inerziale (azione-reazione) se vista dall'osservatore inerziale, proprio perché è impossibile eliminare completamente ogni contatto fisico all'interno dell'autobus (attriti, appoggi, cuscini, ecc..).
Quindi posso essere completamente d'accordo con Claudio Cereda su quello che dice, nello specifico quando dice che la forza apparente non esiste dal punto di vista di un osservatore inerziale, ma solo se si considera i casi IDEALI, che non hanno applicazioni pratiche nella realtà, giusto per rimarcare il fatto che sia "apparente", ma così facendo si confondono di più le idee e si perde il contatto con la realtà dei fatti.
-
Re: Problema forza apparente
Stai dicendo che nei casi reali anche un osservatore inerziale dovrebbe misurare una forza fittizia , tipo la forza centrifuga ?
No Turik non è cosi
Tutti i fenomeni fisici, ideali o reali che siano, potrebbero essere spiegati da un osservatore inerziale ricorrendo alla sole forze reali cioè quelle che corrispondono ad un interazione tra oggetti fisici
il passaggio da un osservatore inerziale ad uno non inerziale può semplificare il problema e renderlo più intuitivo
Si tratta di uno strumento, un "escamotage", una convenienza....
Prendi il caso tipico della palla legata al filo in moto rotatorio
Il filo è flessibile tuttavia si dispone in linea retta come fosse rigido
La spiegazione più ovvia è :
Il filo viene teso dalla forza centrifuga
una spiegazione meno intuitiva ma altrettanto valida è quella che ho tentato di dare qualche post fa
prendi il filo e la palla e comincia a farlo girare
A basse velocità di rotazione il filo non è teso
Però se vai i calcoli vedrai che tutti gli elementi del filo sono soggetti ad un'accelerazione radiale a = r*omega ^2
Questa accelerazione radiale costringe tutti i componenti del filo a disporsi in fila
L'accelerazione radiale è una conseguenza del moto rotatorio in se stesso
il moto rotatorio è generato dalla mano che trattiene un capo del filo ed è una forza reale
-
Allegati: 3
Re: Problema forza apparente
Citazione:
Originariamente Scritto da
turik
@
cesarelia
continuo a sostenere fermamente che la forza apparente coincide con un forza inerziale (azione-reazione) se vista dall'osservatore inerziale, proprio perché è impossibile eliminare completamente ogni contatto fisico all'interno dell'autobus (attriti, appoggi, cuscini, ecc..).
Quindi posso essere completamente d'accordo con Claudio Cereda
mmm... turik in fisica gli attriti e le forze vincolari possono essere sempre inseriti in qualsiasi sistema di riferimento a prescindere se inerziale o no. E devi ricordarti di considerare sempre che agiscono tra materia e materia, quindi hanno una azione e una reazione, e la reazione non devi cercarla nella forza inerziale.
Allegato 43778
Riguardo a Cereda, per completezza posto tutte le sue considerazioni importati sulle forze inerziali (l'ultima parte l'avevo già allegata in qualche post precedente):
Allegato 43779
Riguardo a ciò che esperimenta una persona in un sistema non inerziale, trovo bellino questo esempio trovato in rete:
Allegato 43780
-
Re: Problema forza apparente
Citazione:
Originariamente Scritto da
cesarelia
Credo che qui Cereda si riferisca alle forze apparenti, infatti le chiama anche "forze inerziali", quindi per evitare qualsiasi fraintendimento possiamo anche chiamarle "forze vincolari" quelle a cui mi riferisco io, in questo caso il 3° principio è valido sia per sistemi inerziali che non inerziali.
-
Re: Problema forza apparente
Per definizione forze apparenti/fittizie/inerziali sono termini coincidenti.
Le forze vincolari sono di tipo elettromagnetico (legami molecolari che tengono insieme le molecole la tensione di una corda, o forze che respingono tra loro le molecole, come il pavimento che non ci fa sprofondare nel centro della terra)
Inviato dal mio Redmi 4 utilizzando Tapatalk
-
Re: Problema forza apparente
Quindi giusto per intenderci, quando eri concorde sul fatto che l'osservatore inerziale può spiegare la forza centrifuga attraverso la 3° legge della dinamica, come la chiameresti quella "forza" per l'osservatore inerziale?
-
Allegati: 2
Re: Problema forza apparente
L'osservatore inerziale nemmeno la vede la forza centrifuga, per lui non deve esiste e non deve parlare nè fare i calcoli con essa.
Quindi turik forse non mi ero spiegato bene perché non volevo nemmeno dire che si può spiegare la forza centrifuga con il terzo principio.
Sono costretto a riportare in citazione quello che avevo scritto:
Citazione:
Originariamente Scritto da
cesarelia
3° principio: la Terra attira la Luna (forza che agisce sul corpo Luna), la Luna attira la Terra (forza che agisce sul corpo Terra), e questo due forze sono presenti sia guardando tutto dal centro di massa dei due corpi (sistema inerziale), sia mettendosi sulla Luna (sistema non inerziale). Ma quando guardi tutto dalla Luna, aggiungi una terza forza (centrifuga) per giustificare il fatto che la Luna non cade verso il centro di massa dei due corpi.
E centrifuga e centripeta non devono necessariamente essere uguali in modulo, lo sono solo nel moto circolare uniforme
Ci sta che non ero stato abbastanza chiaro e provo a spiegarlo meglio. Rispetto al centro di massa in rotazione solidale con i due corpi (sistema non inerziale, ma i due corpi sono consci di ruotare), la Luna è attratta dalla Terra (=azione) e respinta dalla propria forza centrifuga; la Terra invece è attratta dalla Luna (reazione) e respinta da una propria e differente forza centrifuga. E siccome le orbite hanno una certa ellitticità, le uniche forze uguali e contrarie sono quelle gravitazionali.
Allegato 43782
Se invece guardiamo tutto da un punto nello spazio non in rotazione (sistema inerziale), le forze gravitazionali bastano da sole a descrivere il moto e in quel sistema di riferimento è scorretto dire che la Luna non cade sulla Terra grazie alla forza centrifuga: dirai che la Luna è costretta a stare sempre vicina alla Terra grazie alla forza centripeta e punto.
Non vorrei che tu stia facendo l'errore comune di osservare una rotazione da un sistema inerziale, e confondere l'inerzia (1° principio) con la forza inerziale.
Esempio: se non hai parafanghi nella bici e passando su una pozzanghera ti bagni la schiena, comunemente si dice che le gocce sono schizzate via per la forza centrifuga, ma fisicamente non potresti. Tu che vedi tutto da un sistema inerziale (bici a velocità costante) dovresti dire che la debole forza centripeta di adesione molecolare non poteva garantire più alla goccia un moto circolare a quella velocità angolare così elevata; dirai che le gocce sono schizzate via liberamente (senza una forza che le ha spinte) e tangenzialmente alla ruota di moto rettilineo. Azione: la goccia è attratta dalla ruota; reazione: la ruota è attratta dalla goccia. Punto.
Allegato 43781
(E al massimo, ciò che provoca il distacco, è l'aumento di velocità della ruota, quindi la ruota ha subito una accelerazione, quindi ha impresso anche alla goccia una accelerazione, che è tangenziale, non centrifuga)
Se invece tu fossi un ragnetto al centro della bici, che è fermo rispetto alla ruota e ruota con essa (e sa di ruotare), dirai che la forza centrifuga ha strappato via la goccia d'acqua, che ha iniziato ad allontanarsi in modo centrifugo. Azione: la goccia è attratta dalla ruota; reazione: la ruota è attratta dalla goccia; forza centrifuga: la goccia è attratta fuori dalla ruota. 2° legge della dinamica per la goccia:
Fadesione-Fcentrifuga=m*a
(a è l'accelerazione della goccia rispetto al centro della ruota). 2° legge della dinamica per la ruota:
(-Fadesione)+altra roba=m*[accelerazione della ruota]=0 (la ruota è ferma rispetto al ragno)
Fcentrifuga non rispetta il 3° principio, Fadesione sì: la coppia di forze va sempre applicata a oggetti diversi e deve sempre essere uguale in modulo, mentre quella centrifuga non sempre lo è (altrimenti la goccia non si staccherebbe mai).
Inviato dal mio Redmi 4 utilizzando Tapatalk
-
Re: Problema forza apparente
Veramente lo hai ribadito più volte che interviene il terzo principio, quindi ora non capisco proprio perchè ti rimangi quello che hai detto, dicendo che in realtà non volevi dirlo. La cosa è a dir poco paradossale.
Anche perchè non si capisce cosa vuoi dire ora:
"2° legge della dinamica per la ruota:
(-Fadesione)+altra roba=m*[accelerazione della ruota]=0 (la ruota è ferma rispetto al ragno)
"
Cosa sarebbe "altra roba"??
Inoltre le gocce schizzano via proprio perchè NON subiscono la forza centrifuga, in quanto la forza di adesione (che sarebbe la forza centripeta per loro) non è sufficiente a trattenerle sul copertone, quindi partono "per la tangente".
Perchè non facciamo un esempio più semplice, come quello del peso attaccato ad un filo, e fatto ruotare attorno ad un punto fisso di rotazione:
Ad un certo momento vedremo il peso ruotare ad una velocità costante trattenuto dal filo che si tende, stabilendo un certo equilibrio.
L'osservatore posto sul peso, giustificherà il fatto che ruota attorno ad un centro di rotazione, introducendo una forza apparente chiamata appunto forza centrifuga, per cui continua a ruotare stabilmente attorno al centro di rotazione compensando la forza centripeta (filo).
L'osservatore esterno che guarda da un punto "fermo", vede il filo che si tende e trattiene il peso che ruota attorno ad un centro.
Ma la domanda è: come si spiega il fatto che il filo si tende? e quindi permette al peso di continuare a ruotare attorno al perno e non parte per la tangente! ci deve essere un'altra forza che compensa la forza centripeta (filo). Quale?
-
Allegati: 1
Re: Problema forza apparente
Diverse cose che hai detto nell'ultimo post sono giustissime, quindi non capisco il perché di rado qualche tua affermazione sembra contraddire, almeno sul piano "terminologico", certe definizioni base e ufficiali della Fisica.
Comunque per rispondere alla tua domanda: per l'osservatore esterno la forza centripeta è la sola responsabile della variazione di direzione del corpo, e quella basta e avanza per garantire il moto circolare uniforme. Nessun'altra forza la "compensa".
Semmai la forza centripeta, identificata con la tensione che il filo applica sul corpo, ha una sua controparte secondo il terzo principio di azione e reazione: tale controparte è la tensione che il filo applica sul perno.
Allegato 43787
Per quanto riguarda il discorso della goccia sulla ruota, la tua interpretazione è ineccepibile; l'"altra roba" non volevo specificarla per non divagare perché il discorso riguardava esclusivamente il moto della goccia.
-
Re: Problema forza apparente
mi sembra veramente che ci stiamo avvitando in discussioni inutilmente complicate
sulla palla agisce soltanto la forza che gli trasmette il filo
sul filo agisce soltanto soltanto la forza che gli trasmette la palla
sono forze "interne" e "reali" per le quali è applicabile il principio di azione e reazione
Non esiste nessun altra forza
le suddette forze esistono anche per l'osservatore in moto con la palla essendo forze "reali" ed "interne"
Dal suo punto di vista però la palla è ferma
Se la palla fosse soggetta solo alla tensione del filo si muoverebbe
Allora bisogna aggiungere un altra forza per farla star ferma :
La forza centrifuga
Si tratta di un espediente nient'altro che un espediente allo scopo di estendere l'equazione F = m*a che vale solo per sistemi inerziali , anche a sistemi non inerziali
Nel caso di moto rotatorio la forza centrifuga ha lo stesso valore numerico delle forze di azione e reazione
Si tratta di un caso particolare
Da qui a voler insinuare che le forze fittizie siano in qualche modo reali in quanto in qualche modo correlate col terzo principio della dinamica ce ne corre
A tal proposito l'autore del testo citato da cesarelia ha ritenuto opportuno avvertire il lettore che il terzo principio non è applicabile alle forze fittizie, probabilmente proprio per evitare equivoci del genere
-
Re: Problema forza apparente
@cesarelia ok, ora mi è più chiaro, ho semplicemente collegato la forza inerziale al terzo principio di inerzia, anche perchè la forza centripeta è effettivamente applicata al corpo, tramite il filo, ma tale forza (centripeta) si esaurisce con la variazione del moto da rettilineo a circolare (ecco la "compensazione" che cercavo). Grazie comunque per il chiarimento.
PS: A proposito di ciò, richiamando un altro esempio molto interessante di un altro utente, che riguarda la ISS, ne consegue che è in "caduta libera" apparente, perchè la gravità (forza centripeta) serve a deviare il moto da rettilineo a circolare, se la ISS fosse effettivamente in caduta libera, continuerebbe ad accelerare costantemente, invece la sua velocità orbitale è pressoché costante, o sbaglio?
-
Re: Problema forza apparente
Credo che la risposta opportuna sia questa.
Citazione:
Originariamente Scritto da
Albertus
una palla è in moto rotatorio appesa ad un cavo
tracciamo il vettore velocità tangente alla cerchio ad un certo istante
tracciamo un altro vettore un tempuscolo dopo
facciamo la differenza dei due vettori
otterremo un vettore non nullo diretto verso il centro di rotazione
c'è stata una variazione di velocità quindi un accelerazione
Detta invece arcaicamente: la iss "cade" verso il centro della terra (cioè accelerando), la velocità costante la fa "cadere" su una linea curva che è l'orbita terrestre, bilanciando esattamente quella che è l'accelerazione gravitazionale terrestre.
-
Re: Problema forza apparente
È tutto corretto tranne il "bilanciando" (purtroppo in qualsiasi linguaggio settoriale è necessaria una certa rigorosità terminologica)
@turik il tuo ragionamento è esatto, e sia tu che @Mulder avete evidenziato un punto basilare della cinematica e del calcolo differenziale vettoriale: l'accelerazione non provoca necessariamente un aumento di velocità, ma può anche provocarne la sola variazione di direzione (quando l'accelerazione è ortogonale al moto)
Inviato dal mio Redmi 4 utilizzando Tapatalk
-
Re: Problema forza apparente
Mi spiace, io non sono affatto convinto, anche se la forza centripeta serve a deviare il moto del corpo, parte di questa forza serve a tendere il filo (-T), mentre T è proprio la forza centrifuga che prescinde dal sistema di riferimento.
-
Re: Problema forza apparente
@cesarelia una semplice domanda:
Se la forza centrifuga è apparente, come si spiega che all'equatore pesiamo meno che ai poli? se non esiste, come fa ad opporsi alla gravità?
Grazie lo stesso, anche se non penso riceverò una risposta.
-
Re: Problema forza apparente
In realtà, dovresti fare la domanda al contrario: se la forza centrifuga è una forza reale, perché non agisce allo stesso modo sia ai poli che all'equatore?
Una forza reale si applica sempre in tutti i sistemi di riferimento, senza eccezioni.
La forza centrifuga e le altre sue affini sono completamente eliminabili se consideriamo il sistema di riferimento in cui ci troviamo in modo giusto, cioè come un sistema di riferimento non inerziale.
Potremmo fare una serie di calcoli piuttosto complessi, e arriveremmo a spiegare quanto vediamo senza interpellare la forza centrifuga.
Se però continuiamo a considerarci in un sistema inerziale, allora dobbiamo chiamare in causa una forza supplementare per spiegare quanto percepiamo: la forza centrifuga.
Considerare la forza centrifuga ci consente di usare un artificio che semplifica notevolmente i conti.
MA il prezzo da pagare è che dobbiamo sempre ricordare che è un trucco, e che la forza centrifuga è fittizia, un artificio.
-
Re: Problema forza apparente
Citazione:
Originariamente Scritto da
Red Hanuman
In realtà, dovresti fare la domanda al contrario: se la forza centrifuga è una forza reale, perché non agisce allo stesso modo sia ai poli che all'equatore?
Non capisco la domanda, ma certamente la forza centrifuga non agisce allo stesso modo, la terra gira attorno ad un asse, per questo motivo la nostra distanza dal suo asse diminuisce man mano che ci avviciniamo ai poli. Mi sembra un' ovvietà.
E' meno ovvia la risposta alla domanda: come spiegheremmo la differenza di peso dall'equatore ai poli senza interpellare la forza centrifuga? questo avviene considerando qualsiasi sistema di riferimento...
-
Re: Problema forza apparente
Riformulo la domanda: la gravità agisce sempre allo stesso modo:
dalla superficie verso il centro del pianeta.
Ed è questo il modo in cui agisce una forza, in modo assolutamente simmetrico e senza un asse privilegiato.
La stessa cosa NON si può dire per la forza centrifuga, che ha come asse privilegiato quello della rotazione terrestre.
Perché?
-
Re: Problema forza apparente
Mah, non mi pare, anche la gravità diminuisce avvicinandosi ad un punto di riferimento, cioè in base alla distanza, esattamente come la forza centrifuga. Continuo a non capire la domanda.
-
Re: Problema forza apparente
E' il calcolo che ho proposto un paio di volte
consideriamo un osservatore inerziale al di fuori della terra e un osservatore non inerziale sulla superficie della terra, all'equatore
l'osservatore inerziale può 'prevedere' , col calcolo, l'entità della forza centrifuga misurata dall'osservatore non inerziale
un oggetto all'equatore rimane attaccato alla terra a causa dell'attrito
se non ci fosse l'attrito l'oggetto partirebbe per la tangente con velocità
v = omega*R
omega = velocita di rotazione della terra
R = raggio della terra
dopo un istante t si troverebbe ad una distanza d dal centro della terra :
d(t) = sqrt( (v*t)^2 + R^2)
se calcoliamo la derivata seconda all'istante t = 0, si trova
a = d''(0) = v^2/R
l'osservatore all'equatore misura una forza centrifuga
F = m*v^2/R
l'osservatore inerziale ha però ricavato l'accelerazione centrifuga con considerazioni solo cinematiche vale a dire senza considerare l'esistenza di altre forze oltre a quelle reali
-
Re: Problema forza apparente
Citazione:
un oggetto all'equatore rimane attaccato alla terra a causa dell'attrito
se non ci fosse l'attrito l'oggetto partirebbe per la tangente con velocità
Non mi interessa la descrizione "geometrica" del moto, mi interessano le cause quindi dal punto di vista della dinamica.
-
Re: Problema forza apparente
ho semplicemente completato l'affermazione di red
"Potremmo fare una serie di calcoli piuttosto complessi, e arriveremmo a spiegare quanto vediamo senza interpellare la forza centrifuga."
L'osservatore esterno alla terra è in grado di spiegare la ragione per la quale un oggetto all'equatore pesa meno che ai poli
senza evocare l'esistenza di altre forze oltre all'attrazione gravitazionale
l'osservatore sulla terra giunge alla stessa conclusione supponendo l'esistenza di una forza centrifuga che però non esiste
Si tratta di un trucco o meglio di un artificio per semplificare i conti